Wie führe ich eine Bewertung meines Warenbestandes durch?

  • Aktualisiert

Damit eine Position aus einem Wareneingang für die Berechnung des bewerteten Warenbestandes berücksichtigt wird, muss ein Einkaufspreis gesetzt sein. Wenn du deine Lieferantenbestellungen über Pickware abwickelst, ist dies üblicherweise der Fall.

Beim Erstellen eines bewerteten Warenbestandes wird der am Produkt hinterlegte Steuersatz zur Berechnung des Warenwerts verwendet. Shopify überträgt jedoch häufig nur den Standard-Steuersatz, auch wenn ein Produkt in Shopify mit einem ermäßigten Steuersatz verkauft wird (z. B. 7 %). Achte daher darauf, dass du den korrekten Steuersatz für jedes Produkt in Pickware gepflegt hast, bevor du die Bewertung erstellst. Eine nachträgliche Anpassung des Steuersatzes kann zu einer korrekteren Bewertung führen.

Solltest du deine Bestände über freie Wareneingänge erhöhen, weil du beispielsweise deine Lieferantenbestellungen extern durchführst, muss für die entsprechenden Positionen manuell ein Einkaufspreis gesetzt werden. Öffne hierzu den betreffenden Wareneingang unter Lagerhaltung Wareneingänge und klicke doppelt in die Spalte Einzelpreis (netto), hinterlege dort den Preis und speichere deine Eingabe über den Haken rechts.

Eine Übersicht aller erstellen bewerteten Warenbestände findest du in deiner Pickware Admin unter Lagerhaltung Bewerteter Warenbestand. Um einen neuen bewerteten Warenbestand zu erstellen, gehe wie folgt vor:

  1. Klicke oben rechts auf Bewerteten Warenbestand erstellen.
  2. Wähle Stichtag, Bewertungsmethode und Lager aus und gib optional einen Kommentar ein. Klicke dann auf Vorschau erstellen.
    Bewerteter Warenbestand (2).png
  3. Du siehst nun eine Vorschau deines bewerteten Warenbestandes und kannst diesen an dieser Stelle entweder als CSV-Datei exportieren oder speichern. Du kannst den Export aber auch zu einem späteren Zeitpunkt durchführen, indem du den entsprechenden Eintrag in der Übersicht der bewerteten Warenbestände aufrufst.

Bitte beachte, dass für einen Zeitraum immer nur ein bewerteter Warenbestand erstellt werden kann. Du kannst bereits erstellte bewertete Warenbestände allerdings bei Bedarf über die Übersicht auch wieder löschen. Wenn der Zeitraum des bewerteten Warenbestandes auch den aktuellen Tag umfasst, kann immer nur eine Vorschau erstellt werden. Erst für vollendete Tage kann der bewertete Warenbestand auch gespeichert werden.

Wenn du den erstellten Bericht aufrufst, kannst du dir in der Spalte Bestand über das LKW-Symbol für jedes Produkt die Bewertungsgrundlage ansehen. Bewertungsgrundlage sind alle Wareneingänge und Lieferantenbestellungen, in denen das Produkt zum jeweiligen Preis enthalten war.

Bewertungsgrundlage_Bew_WB (1).png

Welche Bewertungsmethoden werden unterstützt?

Die Bewertung kann mit LIFO, FIFO oder mit dem gewogenen Durchschnitt der Periode erfolgen. Wenn du einen neuen bewerteten Warenbestand erstellst, ist jeweils die Bewertungsmethode ausgewählt, die du beim letzten Mal verwendet hast. Alle Bewertungsmethoden haben gemeinsam, dass zum Ende eines Berichtszeitraums der vorhandene Bestand inklusive Bewertung in die nächste Berichtsperiode übertragen und dort als Wareneingang verbucht wird. Da alle Wareneingänge einen Einkaufspreis benötigen, greift Pickware ERP hierzu auf die durchschnittlichen Bewertungen der Vorperiode zurück.

Grundsätzlich erfolgt die Bewertung aus dem aktuell im Lager vorhandenen Bestand und allen Wareneingängen einer Bewertungsperiode. Der Übertrag der Vorperiode (falls vorhanden) zählt ebenfalls als Wareneingang. In der ersten Bewertungsperiode werden entsprechend alle Wareneingänge vor dem Stichtag berücksichtigt.

Bewerteter Warenbestand (1).png

Abhängig von der Bewertungsmethode ergibt sich die Bewertung folgendermaßen:

LIFO

Hierbei wird vereinfachend angenommen, dass die neuen, also zuletzt eingegangenen Waren (= last in) zuerst wieder aus dem Lager entnommen werden (= first out). Die älteren Wareneingänge verbleiben somit im Lager und werden für die Berechnung des bewerteten Warenbestandes so lange aufsummiert, bis der aktuelle Lagerbestand erreicht ist.

FIFO

Dabei werden, ebenfalls vereinfacht angenommen, die alten, also zuerst eingegangenen Waren (= first in) zuerst wieder aus dem Lager entnommen (= first out). Die neueren Wareneingänge verbleiben somit im Lager und werden so lange aufsummiert, bis der aktuelle Lagerbestand erreicht.

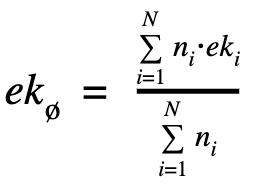
Gewogener Durchschnitt

Der aktuelle Bestand wird mit dem gewogenen Durchschnittspreis der Periode multipliziert. Der Preis ergibt sich wie folgt:

Durchschnittlicher EK.png

Berechnungsbeispiel

Zur Verdeutlichung findest du hier ein konkretes Beispiel. 

Buchungsdatum Buchungsart Menge Einkaufspreis
04.07.2022 Initialer Bestand 100 5 €
01.09.2022 Wareneingang 50 4 €
15.11.2022 Wareneingang 70 6 €
31.12.2022 Endbestand 2022 80  
01.01.2023 Übertrag 2022 80  
05.02.2023 Wareneingang 20 7 €
10.05.2023 Wareneingang 30 6,5 €
01.10.2023 Wareneingang 100 3 €
31.12.2023 Endbestand 2023 110  
01.01.24 Übertrag 2023 110  

Je nach dem, welches Verfahren gewählt wurde, ergibt sich die Berechnung wie folgt:

LIFO
Endbestand 2022 80*5 € = 400 €
Übertrag 2022  80 Stück à 5 €
Endbestand 2023  80*5 € + 20*7 € + 10*6,50 € = 605 €
Übertrag 2023 110 Stück à 5,50 €
FIFO
Endbestand 2022 70*6 € + 10*4 = 460 €
Übertrag 2022  80 Stück à 5,75 €
Endbestand 2023  100*3 € + 10*6,50 € = 365 €
Übertrag 2023 110 Stück à 3,32 €
Gewogener Durchschnitt
Endbestand 2022 (100*5 € + 50*4 € + 70*6 €)
/ 220*80 = 407,27€
Übertrag 2022  80 Stück à 5,09 €
Endbestand 2023  (80*5,09 € + 20*7 € + 30*6,50 € + 100*3 €) / 230*110 = 498,44 €
Übertrag 2023 110 Stück à 4,53 €